1Buck 变换器的功率器件设计公式
(1):Buck 变换器的电路图:

(2):Buck 变换器的主要稳态规格:

(3):功率器件的稳态应力:
-- 有源开关 S:

-- 无源开关 D:

上述公式是稳态工作时,功率器件上的电压、电流应力。选择功率器件时,其电压耐量可放一个合适的余量(保证最坏情况下的电压峰值不超过此值),电流耐量则得按器件的结温降额要求决定、它与外部散热条件和器件的通态电阻、通态压降、结电容、反向恢复、结到壳的热阻等密切相关,是功率器件热设计的内容,将在以后的栏目中介绍。
2Boost 变换器的功率器件设计公式
(1):Boost 变换器的电路图:

(2):Boost 变换器的主要稳态规格:

(3):功率器件的稳态应力:
-- 有源开关 S:

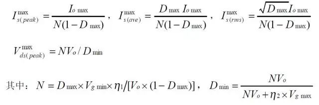
- 无源开关 D:

上述公式是稳态工作时,功率器件上的电压、电流应力。选择功率器件时,其电压耐量可放一个合适的余量(保证最坏情况下的电压峰值不超过此值),电流耐量则得按器件的结温降额要求决定、它与外部散热条件和器件的通态电阻、通态压降、结电容、反向恢复、结到壳的热阻等密切相关,是功率器件热设计的内容,将在以后的栏目中介绍。
3Buckboost 变换器设计公式
(1):Buckboost 变换器的电路图:

(2):Buckboost 变换器的主要稳态规格:

(3):功率器件的稳态应力:
-- 有源开关 S:

-- 无源开关 D:

上述公式是稳态工作时,功率器件上的电压、电流应力。选择功率器件时,其电压耐量可放一个合适的余量(保证最坏情况下的电压峰值不超过此值),电流耐量则得按器件的结温降额要求决定、它与外部散热条件和器件的通态电阻、通态压降、结电容、反向恢复、结到壳的热阻等密切相关,是功率器件热设计的内容,将在以后的栏目中介绍。
4三绕组去磁正激变换器的功率器件设计公式
(1):三绕组去磁正激变换器的电路图:

(2):三绕组去磁正激变换器的主要稳态规格:

(3):功率器件的稳态应力:
-- 有源开关 S:

-- 无源开关 D1,D2:

上述公式是稳态工作时,功率器件上的电压、电流应力。选择功率器件时,其电压耐量可放一个合适的余量(保证最坏情况下的电压峰值不超过此值),电流耐量则得按器件的结温降额要求决定、它与外部散热条件和器件的通态电阻、通态压降、结电容、反向恢复、结到壳的热阻等密切相关,是功率器件热设计的内容,将在以后的栏目中介绍。
5二极管去磁双正激变换器的功率器件设计公式
(1):二极管去磁双正激变换器的电路图:

(2):二极管去磁双正激变换器的主要稳态规格:

(3):功率器件的稳态应力:
- 有源开关 S1,S2:

- 无源开关 D1,D2:

上述公式是稳态工作时,功率器件上的电压、电流应力。选择功率器件时,其电压耐量可放一个合适的余量(保证最坏情况下的电压峰值不超过此值),电流耐量则得按器件的结温降额要求决定、它与外部散热条件和器件的通态电阻、通态压降、结电容、反向恢复、结到壳的热阻等密切相关,是功率器件热设计的内容,将在以后的栏目中介绍。
6谐准去磁正激变换器的功率器件设计公式
(1):谐准去磁正激变换器的电路图:
(2):谐准去磁正激变换器的主要稳态规格:
(3):功率器件的稳态应力:
- 有源开关 S:
- 无源开关 D1,D2:
上述公式是稳态工作时,功率器件上的电压、电流应力。选择功率器件时,其电压耐量可放一个合适的余量(保证最坏情况下的电压峰值不超过此值),电流耐量则得按器件的结温降额要求决定、它与外部散热条件和器件的通态电阻、通态压降、结电容、反向恢复、结到壳的热阻等密切相关,是功率器件热设计的内容,将在以后的栏目中介绍。
7有源去磁正激变换器的功率器件设计公式
(1):有源去磁正激变换器的电路图:
(2):有源去磁正激变换器的主要稳态规格:
(3):功率器件的稳态应力:
-- 有源开关 S:
-- 无源开关 D1,D2:
[color=rgb(51, 51, 51) !important]上述公式是稳态工作时,功率器件上的电压、电流应力。选择功率器件时,其电压耐量可放一个合适的余量(保证最坏情况下的电压峰值不超过此值),电流耐量则得按器件的结温降额要求决定、它与外部散热条件和器件的通态电阻、通态压降、结电容、反向恢复、结到壳的热阻等密切相关,是功率器件热设计的内容,将在以后的栏目中介绍。
8对称驱动半桥变换器的功率器件设计公式
(1):对称驱动半桥变换器的电路图:
(2):对称驱动半桥变换器的主要稳态规格:
(3):功率器件的稳态应力:
- 有源开关 S1,S2:
-- 无源开关 D1,D2:
上述公式是稳态工作时,功率器件上的电压、电流应力。选择功率器件时,其电压耐量可放一个合适的余量(保证最坏情况下的电压峰值不超过此值),电流耐量则得按器件的结温降额要求决定、它与外部散热条件和器件的通态电阻、通态压降、结电容、反向恢复、结到壳的热阻等密切相关,是功率器件热设计的内容,将在以后的栏目中介绍。
9对称驱动全桥变换器的功率器件设计公式
(1):对称驱动全桥变换器的电路图:
(2):对称驱动全桥变换器的主要稳态规格:

(3):功率器件的稳态应力:
-- 有源开关 S1(S3),S2(S4):

-- 无源开关D1,D2:

上述公式是稳态工作时,功率器件上的电压、电流应力。选择功率器件时,其电压耐量可放一个合适的余量(保证最坏情况下的电压峰值不超过此值),电流耐量则得按器件的结温降额要求决定、它与外部散热条件和器件的通态电阻、通态压降、结电容、反向恢复、结到壳的热阻等密切相关,是功率器件热设计的内容,将在以后的栏目中介绍。
10对称驱动推挽变换器的功率器件设计公式
(1):对称驱动推挽变换器的电路图:

(2):对称驱动推挽变换器的主要稳态规格:

(3):功率器件的稳态应力:
-- 有源开关 S1,S2:

-- 无源开关 D1,D2:

上述公式是稳态工作时,功率器件上的电压、电流应力。选择功率器件时,其电压耐量可放一个合适的余量(保证最坏情况下的电压峰值不超过此值),电流耐量则得按器件的结温降额要求决定、它与外部散热条件和器件的通态电阻、通态压降、结电容、反向恢复、结到壳的热阻等密切相关,是功率器件热设计的内容,将在以后的栏目中介绍。
11对称驱动推挽正激变换器的功率器件设计公式
(1):对称驱动推挽正激变换器的电路图:

(2):对称驱动推挽正激变换器的主要稳态规格:

(3):功率器件的稳态应力:
-- 有源开关 S1,S2:

-- 无源开关 D1,D2:

上述公式是稳态工作时,功率器件上的电压、电流应力。选择功率器件时,其电压耐量可放一个合适的余量(保证最坏情况下的电压峰值不超过此值),电流耐量则得按器件的结温降额要求决定、它与外部散热条件和器件的通态电阻、通态压降、结电容、反向恢复、结到壳的热阻等密切相关,是功率器件热设计的内容,将在以后的栏目中介绍。
12不对称驱动半桥变换器的功率器件设计公式
(1):不对称驱动半桥变换器的电路图:

(2):不对称驱动半桥变换器的主要稳态规格:

(3):功率器件的稳态应力:
-- 有源开关 S1,S2

-- 无源开关 D1,D2:

上述公式是稳态工作时,功率器件上的电压、电流应力。选择功率器件时,其电压耐量可放一个合适的余量(保证最坏情况下的电压峰值不超过此值),电流耐量则得按器件的结温降额要求决定、它与外部散热条件和器件的通态电阻、通态压降、结电容、反向恢复、结到壳的热阻等密切相关,是功率器件热设计的内容,将在以后的栏目中介绍。
13对称驱动推挽Boost 变换器的功率器件设计公式
(1):对称驱动推挽Boost 变换器的电路图:

(2):对称驱动推挽Boost 变换器的主要稳态规格:

(3):功率器件的稳态应力:
-- 有源开关 S1,S2:

-- 无源开关 D1,D2:

上述公式是稳态工作时,功率器件上的电压、电流应力。选择功率器件时,其电压耐量可放一个合适的余量(保证最坏情况下的电压峰值不超过此值),电流耐量则得按器件的结温降额要求决定、它与外部散热条件和器件的通态电阻、通态压降、结电容、反向恢复、结到壳的热阻等密切相关,是功率器件热设计的内容,将在以后的栏目中介绍。
14反激变换器的功率器件设计公式
(1):反激变换器的电路图:

(2):反激变换器的主要稳态规格:

(3):功率器件的稳态应力:
-- 有源开关 S:

-- 无源开关 D:

上述公式是稳态工作时,功率器件上的电压、电流应力。选择功率器件时,其电压耐量可放一个合适的余量(保证最坏情况下的电压峰值不超过此值),电流耐量则得按器件的结温降额要求决定、它与外部散热条件和器件的通态电阻、通态压降、结电容、反向恢复、结到壳的热阻等密切相关,是功率器件热设计的内容。
END
免责声明:本文转自网络,版权归原作者所有,如涉及作品版权问题,请及时与我们联系,谢谢!